如何输入一个特定编号的公式?
相关问题:如何手动给公式编号?类似 LaTeX 的 \tag{}。
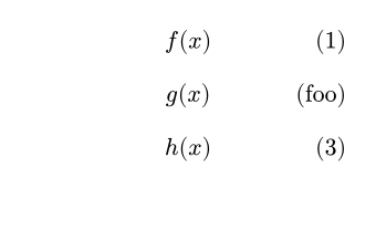
设置 numbering 啊,传入一个返回你想要的内容的函数即可。
typst
#set math.equation(numbering: "(1)")
$ f(x) $
#math.equation($g(x)$, block: true, numbering: n => "(foo)")
$ h(x) $